
Information
- MAPE (Mean Absolute Percentage Error) is a measure of the accuracy of a forecasting model, expressed as a percentage of the actual values.
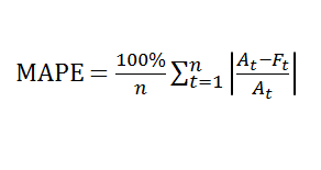
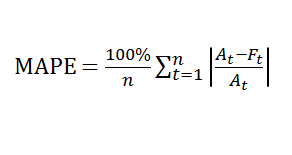
- MAPE is defined as the average of the absolute percentage errors (APEs) over the forecast horizon, multiplied by 100% to express it as a percentage:
- MAPE = (1/n) * sum(|(actual - forecast)/actual|) * 100%
- APE measures the size of the errors in the model, relative to the actual values, and thus reflects the magnitude of the error.
- MAPE reflects the average size of the errors in the model, relative to the actual values, and thus provides a standardized measure of the model's performance.
- MAPE is a useful metric when the target variable has a non-zero mean and a non-zero range of values, as it provides a meaningful interpretation of the errors in percentage terms.
- MAPE can be used to compare the performance of different forecasting models or to track the performance of the same model over time.
- A lower MAPE indicates a more accurate and reliable model, while a higher MAPE indicates a less accurate and more variable model.
- MAPE has some limitations, such as being sensitive to extreme values and not being suitable for forecasting models with zero or near-zero actual values.
- MAPE can be used in combination with other metrics, such as Mean Absolute Error (MAE) and Root Mean Squared Error (RMSE), to provide a more comprehensive evaluation of the model's performance.
'Zettelkasten > Terminology Information' 카테고리의 다른 글
| Wilcoxon test (0) | 2023.02.27 |
|---|---|
| ELU (Exponential Linear Unit) (0) | 2023.02.27 |
| PReLU (Parametric Rectified Linear Unit) (0) | 2023.02.26 |
| CVRMSE (Coefficient of Variation of the Root Mean Squared Error) (0) | 2023.02.25 |
| LReLU (Leaky Rectified Linear Unit) (0) | 2023.02.25 |
댓글