
Information
- MASE (Mean Absolute Scaled Error) is a metric for measuring forecast accuracy.
- MASE compares the accuracy of a given forecast with that of a naive forecast (e.g., a seasonal naïve or a random walk model).
- MASE is scale-independent, making it useful for comparing the accuracy of forecasts across different time series with different scales.
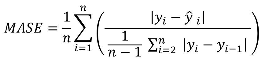
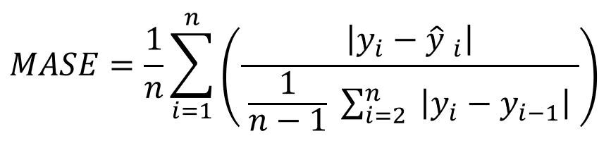
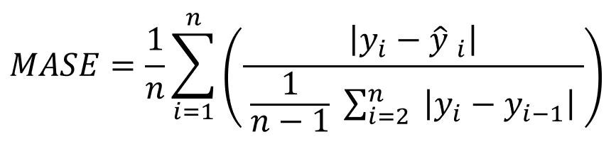
- The formula for MASE is:
- MASE = mean(|e_t|) / (mean(|y_t-y_{t-1}|) for t = 2,...,n)
- where e_t is the forecast error at time t, y_t is the actual value at time t, and n is the length of the time series.
- A MASE value of less than 1 indicates that the given forecast is better than the naive forecast.
- MASE has been used in various fields, including finance, energy, and transportation, to evaluate the performance of forecasting models.
'Zettelkasten > Terminology Information' 카테고리의 다른 글
| SVR (Support Vector Regression) (0) | 2023.04.05 |
|---|---|
| BPN (BackPropagation Neural Network) (0) | 2023.04.04 |
| Classification (0) | 2023.04.02 |
| Clustering (0) | 2023.04.01 |
| MA (Moving Average) (0) | 2023.03.31 |
댓글