
Information
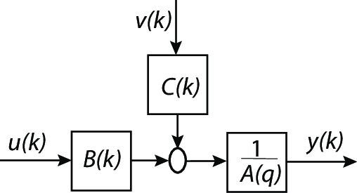
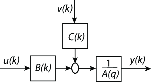
- ARMAX (AutoRegressive Moving Average model with eXogenous inputs) is a type of statistical model that combines autoregressive (AR) and moving average (MA) models with external variables, also known as exogenous variables.
- The model assumes that the output variable depends on its past values, the past values of the error term, and past values of the exogenous variables.
- ARMAX models are used in time series analysis to predict future values of a variable based on its past values, the past values of the error term, and past values of the exogenous variables.
- The order of the model is determined by the number of autoregressive and moving average terms used.
- ARMAX models can be estimated using maximum likelihood estimation (MLE) or least squares estimation (LSE) methods.
- The model requires that the errors are uncorrelated and have constant variance over time, which can be checked using diagnostic tests.
- ARMAX models are widely used in areas such as finance, economics, engineering, and environmental science for forecasting, monitoring, and decision making.
'Zettelkasten > Terminology Information' 카테고리의 다른 글
| OE (Output Error) (0) | 2023.03.20 |
|---|---|
| Cold-start problem (0) | 2023.03.20 |
| Attention (0) | 2023.03.19 |
| CNN-LSTM (0) | 2023.03.18 |
| DA (Domain Adaptation) (0) | 2023.03.18 |
댓글