
Information
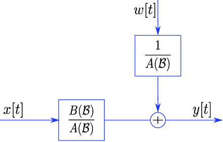
- ARX (AutoRegressive with eXogenous inputs) is a linear model used in time-series analysis and forecasting, where the output variable (Y) is modeled as a function of its own lagged values (AR term) and the lagged values of one or more exogenous input variables (X term).
- The ARX model is a combination of an AR model and an external input, making it a more general class of models compared to AR.
- The ARX model is typically represented as: Y_t = a_1 * Y_t-1 + a_2 * Y_t-2 + ... + a_p * Y_t-p + b_1 * X_t-1 + b_2 * X_t-2 + ... + b_q * X_t-q + e_t
- where Y_t is the output variable at time t, X_t-i represents the i-th lagged value of an exogenous input at time t, a_1 to a_p are the parameters of the AR model, b_1 to b_q are the parameters of the X model, e_t is the error term at time t, and p and q are the number of lags used in the AR and X models, respectively.
- The ARX model is commonly used when the time series data is influenced by external factors, and the goal is to capture the relationship between the time series data and the external factors.
- The ARX model can be estimated using various techniques such as least squares, maximum likelihood, and Bayesian methods. The estimation procedure involves selecting the appropriate values of p and q, estimating the model parameters, and assessing the goodness of fit.
- The ARX model is widely used in various fields such as finance, economics, engineering, and control systems. It has been used for forecasting stock prices, exchange rates, and demand for products, among other applications.
'Zettelkasten > Terminology Information' 카테고리의 다른 글
| ANN (Artificial Neural Network) (0) | 2023.03.23 |
|---|---|
| KNN (K-Nearest Neighbors) (0) | 2023.03.22 |
| OE (Output Error) (0) | 2023.03.20 |
| Cold-start problem (0) | 2023.03.20 |
| ARMAX (AutoRegressive Moving Average model with eXogenous inputs) (0) | 2023.03.19 |
댓글