
Information
- RNN (Recurrent Neural Network) is a type of neural network designed for processing sequential data, such as time series or natural language.
- It can handle input of varying length, and maintain an internal state (memory) that allows it to capture information from previous inputs.
- RNNs can be trained with backpropagation through time (BPTT) to optimize their weights and learn to predict future values based on past values.
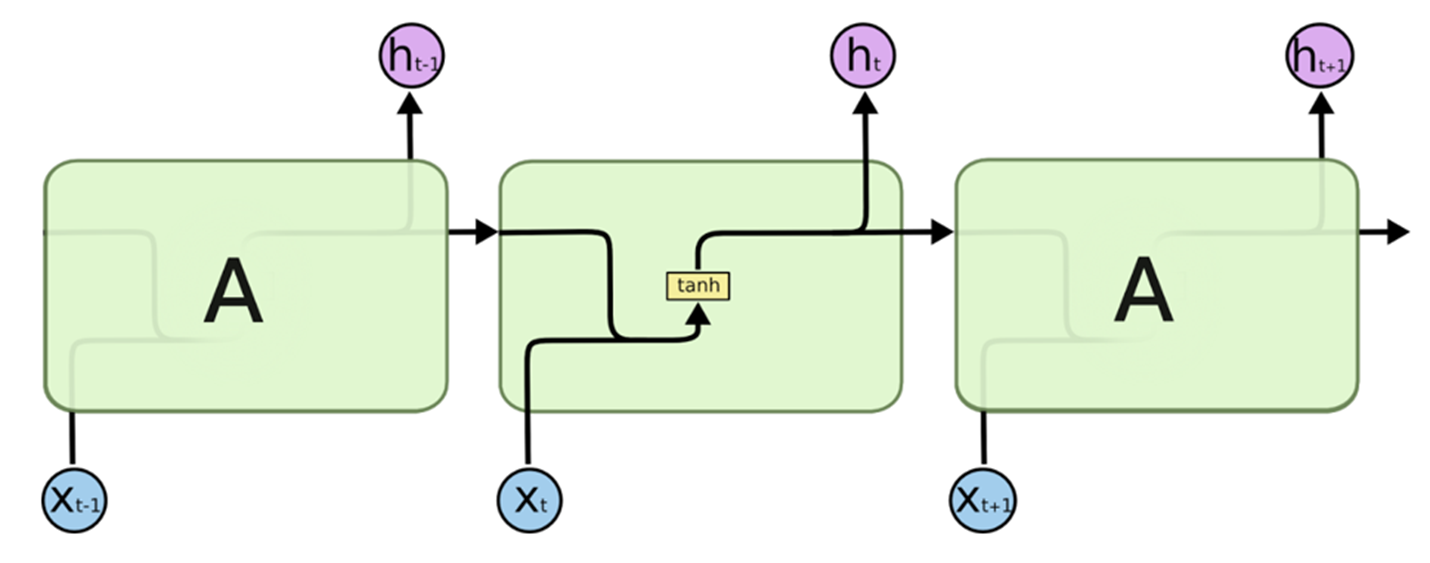
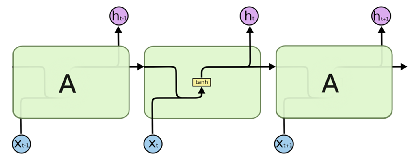
- A basic RNN cell is composed of a simple layer with an activation function, which takes in the input and the previous hidden state as inputs, and produces the output and the next hidden state as outputs.
- The most common type of RNN is the LSTM (Long Short-Term Memory), which uses special memory units to allow for longer-term dependencies and better gradient flow during training.
- Another common variant is the GRU (Gated Recurrent Unit), which combines the forget and input gates of the LSTM into a single "update gate" for a simpler architecture.
- RNNs can be used for a variety of tasks, including sequence prediction, sequence generation, and sequence classification.
- However, they can suffer from vanishing or exploding gradients due to the long-term dependencies and recurrent weight updates, which can make training difficult.
- Various techniques such as gradient clipping, weight regularization, and attention mechanisms can be used to address these issues and improve RNN performance.
'Zettelkasten > Terminology Information' 카테고리의 다른 글
| Time series forecasting (0) | 2023.04.10 |
|---|---|
| Transformer (0) | 2023.04.09 |
| Long-term time series forecasting (0) | 2023.04.07 |
| RW (Random Walk) (0) | 2023.04.06 |
| SVR (Support Vector Regression) (0) | 2023.04.05 |
댓글